✱ The thesis paper I wrote for professor Joseph Onochie's econometrics seminar in fall 2010 simulated the medium-term macroeconomic impacts of dollar depreciation using vector autoregression. I dug the paper and its data back up in the fall of 2013 as I was applying to architecture grad schools, and produced the following rewrite and data visualizations for my portfolio.
Modeling Exchange-Rate Passthrough
Premise
On the 3rd of November 2010, Ben Bernanke, then chairman of the Federal Reserve, announced a renewed program of “quantitative easing”, which would have the Fed buy $600 billion (equivalent to two weeks’ of national economic output) of US government debt over an eight month period. This move aimed to unclog the calcified arteries of the financial system with a flood of newly minted cash, in the hopes of getting a moribund US economy back on its feet. Such a ham-fisted solution was not without its risks, however, and naysayers prophesied the dollar’s collapse and hyperinflation.
Problem
For my econometrics senior thesis, I decided to investigate the potential trade ramifications of a depreciation in the US dollar, a widely expected consequence of the Fed’s action. A review of the literature turned up five high frequency macroeconomic indicators that would constitute my dataset.
Simply plotting the month-to-month changes of the data against my key variable (import prices) produces five charts. Only capable of hinting at the underlying macrodynamics, such two dimensional representations fail to reveal deeper interrelationships in the data as they cannot account for two key characteristics of macroeconomic variables: multivariable interaction and bidirectional causality.

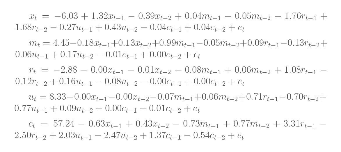
Approach
In order to understand the dynamics and equilibria of the whole system as external shocks worked their way through the web of interconnected factors, I applied vector autoregression (VAR), a computationally intensive scenario analysis methodology.
VAR describes a dynamic, self-aware system whose state at any point in time is determined by its state in previous periods. Multiple iterations of the equations (which relate each variable to its past self and other variables) lead to the emergence of system-wide evolutions.
In addition, VAR analysis can be conducted on rolling time periods, revealing shifts in intervariable dynamics over time.
For example, below are five VAR equations derived for the ten-year period from 1990 to 2000, using the raw data plotted above. The value of each variable at time t is a function of itself and four other variables with a one period and two period lag (t-1 and t-2). These equations can be used to generate predictions about how changes in one variable will reverberate through the entire system, in the form of impulse response functions.

Derived from VAR equations, impulse response functions (IRFs) show how a system’s variables deviate from baseline values after an adjustment, or “shock”, to the initial starting conditions of that system. Below are impulse responses of the five high frequency macroeconomic variables to shocks to each one of them, as modeled over six rolling ten-year periods, up to 36 months after the shock.

Overlaying IRFs for the same variable, but from different time periods, can reveal evolutions in the sensitivity of a system’s variables to other variables over time. Next are IRFs of the same five variables to the same five shocks, but showing the change in response over six rolling ten-year periods.

The below IRFs show the system’s sensitivity to a positive 1% shock to the US dollar exchange rate (over the course of 36 months) for six rolling ten-year periods.

Conclusions
At a glance, two high level conclusions can be drawn from the above charts. The first is that the system exhibits strong self-stabilizing tendencies after a shock, which corroborates what we already know about macroeconomic feedback loops. All five variables, across time periods, appear to eventually revert to baseline values. The second is that variables are remarkably unstable in their sensitivity to shocks across different time periods. This suggests that economists’ prognostications about the impact of large scale macroeconomic interventions, such as the Federal Reserve’s program of quantitative easing, must be mindful of rapid shifts in the underlying dynamics of the macroeconomy.
More specifically, the above results suggest that over the course of the 2000s, the sensitivity of import and crude oil prices to movements in the US dollar increased dramatically, heightening the risk of passing on the costs of loose monetary policy to consumers in the form of higher inflation and gas prices. On the other hand, recent hand-wringing in the financial press about the lack of inflation despite Federal Reserve accommodation, and even fears of deflation, suggest that the US economy may have entered a new macroeconomic paradigm, one that has not been captured in the data here. Understanding the exact causes for these shifts in sensitivity is, unfortunately, beyond the scope of my research, but remains a potentially fruitful area for further investigation.
Selected Bibliography
- Pinelopi K. Goldberg and Michael Knetter, “Goods Prices and Exchange Rates: What Have We Learned?”, Journal of Economic Literature, Vol. 35 No. 3 (Sep. 1997): 1243-1272.
- Christopher Gust, Sylvain Leduc, and Robert Vigfusson, “Trade integration, competition, and the decline in exchange rate-rate pass-through,” Journal of Monetary Economics, 57 (2010): 309-324.
- Rebecca Hellerstein, Deirdre Daly and Christina Marsh, “Have U.S. Import Prices Become Less Responsive to Changes in the Dollar?”, Current Issues in Economics and Finance, Vol. 12 No. 6 (Sep. 2006).
- Takatoshi Ito and Kiyotashi Sato, “Exchange Rate Changes and Inflation in Post-Crisis Asian Economics: Vector Autoregression Analysis of the Exchange Rate Pass-Through,” Journal of Money, Credit and Banking, Vol. 40, No. 7 (Oct. 2008): 1408-1438.
- Mario Marazzi, Nathan Sheets, and Robert Vigfusson, “Exchange Rate Pass-through to U.S. Import Prices: Some New Evidence,” International Finance Discussion Papers, No. 833 (April 2005).